学校日記

校内百景 4月21日 3年生数学

公開日
2025/04/22
更新日
2025/04/22

お知らせ

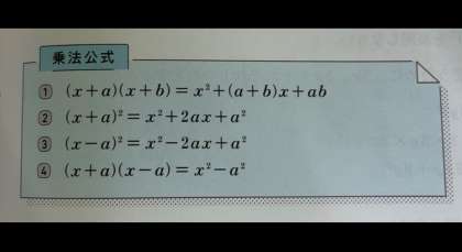
3年生の数学の授業では、乗法公式の復習をしてから、

「いろいろな式の展開に情報公式を利用する」という発展的

な問題に取り組んでいました。

3年生になり、66期生の授業に参加する姿勢はとても

意欲的な感じがします。

今の気持ちを大事にしながら、これからも継続して学習活動

に力を入れてほしいです。


 「一生懸命は、格好いい

     認める心は、美しい」


66期生の学年スローガン(学年目標)が示している一生懸命な姿を、

学習面でもたくさん見せてもらいたいですね。