計算の順番
- 公開日
- 2020/05/15
- 更新日
- 2020/05/15
お知らせ
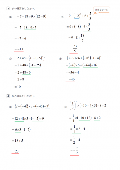
今日は計算の順番です。2・3年生の人も、苦手な人は見ておきましょう。
ここをクリック⇒計算の順番
2025年度
2024年度
2023年度
2022年度
2021年度
2020年度
2019年度
2018年度
2017年度
2016年度
2015年度
2014年度
2013年度
大阪市いじめ対策基本方針 〜 子どもの尊厳を守るために 〜(令和7年4月改正)
大阪市教育振興基本計画(令和4(2022)年度〜令和7(2025)年度)を変更しました(令和6年3月中間見直し)
「令和7年度全国学力・学習状況調査」大阪市の結果について
令和8年度大阪府公立高等学校入学者選抜における 調査書に記載する評定等に関する方
学校安心ルール(スタンダートモデル)
大阪市部活動指針〜プレーヤーズファースト〜(令和2年12月改定)
令和6年度「全国体力・運動能力、運動習慣等調査」【大阪市の結果】を公表します
子ども向けイベントチラシ等掲載専用ページを開設しました! 学校園へ配付依頼のあったイベントチラシや情報誌はこちらから閲覧できます。
「ひきこもり」でお悩みの方へ(ひきこもりに関する相談機関のご案内)
障がいのある子どもの就学(進学)について
学校再編(学校適正配置)に向けた説明会
港区の学校再編(学校適正配置)について
学校再編(学校適正配置)に向けた説明会(令和5年7月26日・8月1日)のYouTube動画及び説明資料を掲載しました
港区における学校再編に向けた取組み及び検討状況について
港区の過去と今がわかる1分動画「【港区まち自慢】1分でわかる大阪市港区 〜未来と世界にひらくまち〜」
学校再編整備計画策定に向けた説明会(令和5年11月21日・11月30日)のお知らせ
令和6年度 港区学校選択制の希望調査結果と各学校の受入可能人数(令和5年10月31日現在)をお知らせします
◆第3回住民説明会 築港小学校 令和5年11月21日(火)
◆第4回住民説明会 八幡屋小学校 令和5年11月30日(木)
港区における学校再編に向けた取組み及び検討状況について【令和6年2月2日更新】
中学校家庭配付用献立表
加工食品等の原材料表について
大阪市の学校給食
中学生のみなさんへ(大阪府立高等学校 入試情報・学校説明会など)
大阪私立中学校高等学校連合会
私学のイイとこ満載! Dream
令和8年度公立高等学校入学者選抜(オンライン出願システム)
豊かな大阪湾PR動画 全体版
本校の海遊館部の活動が大阪府のHPに掲載されました。