学校徴収金等の引き落としについて
- 公開日
- 2019/05/23
- 更新日
- 2019/05/23
学校日記
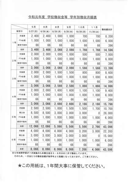
27日(月)は、今年度1回めの徴収金(児童費やPTA会費など)の引き落とし日です。
銀行残高の確認をよろしくお願いいたします。
学校日記
27日(月)は、今年度1回めの徴収金(児童費やPTA会費など)の引き落とし日です。
銀行残高の確認をよろしくお願いいたします。
お知らせプリント
年間行事予定
学校安全マップ
2025年度
2024年度
2023年度
2022年度
2021年度
2020年度
2019年度
2018年度
2017年度
2016年度
2015年度
2014年度
2013年度
教育振興基本計画に基づいた取組
令和6年度「大阪市小学校学力経年調査」結果について
家庭向けプリント配信サービス 「プリントひろば」
デジタルドリル navima
「 大阪市立の学校教職員・ 児童・ 生徒専用電子書籍 ページ 」