生徒アンケート後期の集計結果
- 公開日
- 2021/12/20
- 更新日
- 2021/12/20
お知らせ
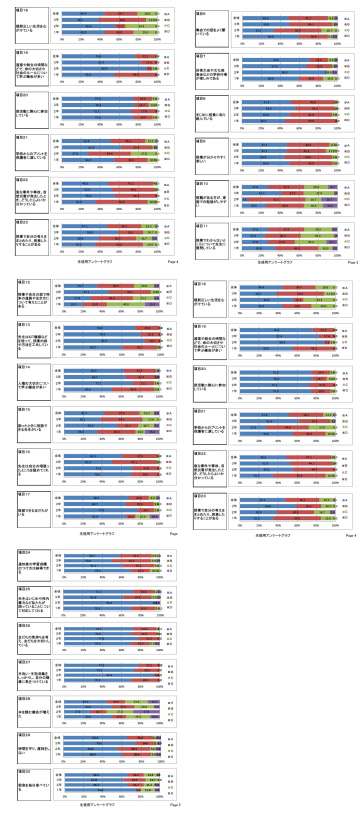
学校評価アンケート後期の生徒アンケート集計ができました。今回のアンケートはChromeBookを使って行いました。
ここをクリック👉生徒アンケート後期
お知らせ
学校評価アンケート後期の生徒アンケート集計ができました。今回のアンケートはChromeBookを使って行いました。
ここをクリック👉生徒アンケート後期
学校配布文書
学校評価
各種文書
PTA
2025年度
2024年度
2023年度
2022年度
2021年度
2020年度
2019年度
2018年度
2017年度
2016年度
2015年度
2014年度
2013年度
2025年12月
| 日 | 月 | 火 | 水 | 木 | 金 | 土 |
|---|---|---|---|---|---|---|
| 1 | 2 | 3 | 4 | 5 | 6 | |
| 7 | 8 | 9 | 10 | 11 | 12 | 13 |
| 14 | 15 | 16 | 17 | 18 | 19 | 20 |
| 21 | 22 | 23 | 24 | 25 | 26 | 27 |
| 28 | 29 | 30 | 31 |
大阪市いじめ対策基本方針 〜 子どもの尊厳を守るために 〜(令和6年4月改正)
大阪市教育振興基本計画(令和4(2022)年度〜令和7(2025)年度)を変更しました(令和6年3月中間見直し)
「令和5年度全国学力・学習状況調査」大阪市の結果について
令和7年度大阪府公立高等学校入学者選抜における 調査書に記載する評定等に関する方針
第2期「学校園における働き方改革推進プラン」を策定しました
学校安心ルール(スタンダートモデル)
大阪市部活動指針〜プレーヤーズファースト〜(令和2年12月一部改定)
「令和5年度全国学力・学習状況調査」大阪市の結果について
令和5年度「全国体力・運動能力、運動習慣等調査」【大阪市の結果】を公表します
「ひきこもり」でお悩みの方へ(ひきこもりに関する相談機関のご案内)
障がいのある子どもの就学(進学)について
学校再編(学校適正配置)に向けた説明会
港区の学校再編(学校適正配置)について
学校再編(学校適正配置)に向けた説明会(令和5年7月26日・8月1日)のYouTube動画及び説明資料を掲載しました
港区における学校再編に向けた取組み及び検討状況について
港区の過去と今がわかる1分動画「【港区まち自慢】1分でわかる大阪市港区 〜未来と世界にひらくまち〜」
学校再編整備計画策定に向けた説明会(令和5年11月21日・11月30日)のお知らせ
令和6年度 港区学校選択制の希望調査結果と各学校の受入可能人数(令和5年10月31日現在)をお知らせします
◆第3回住民説明会 築港小学校 令和5年11月21日(火)
◆第4回住民説明会 八幡屋小学校 令和5年11月30日(木)
港区における学校再編に向けた取組み及び検討状況について【令和6年2月2日更新】
中学校家庭配付用献立表
加工食品等の原材料表について
大阪市の学校給食
中学生のみなさんへ(大阪府立高等学校 入試情報・学校説明会など)
大阪私立中学校高等学校連合会
私学のイイとこ満載! Dream
令和7年度公立高等学校入学者選抜(オンライン出願システム)
豊かな大阪湾PR動画 全体版
本校の海遊館部の活動が大阪府のHPに掲載されました。