学校日記

3年生 数学 研究授業

公開日
2019/07/05
更新日
2019/07/05

3年

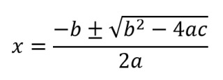
7月5日(金)、3年4組で数学の研究授業をおこないました。
2次方程式の「解の公式」を、これまでに学習した、文字式・1次方程式・平方根の知識を使って導きだすという授業です。

班ごとのグループ学習=協同学習で、さまざまな意見を出し合い、教えあいながら解いていきます。すぐに正解にたどり着けない思考が必要な学習です。班でまとめた答えを、タブレットPCにまとめ、「発表」の機能を使って共有します。

簡単な内容ではありません。自分には難しいと感じている生徒もいると思います。ですが、意見を出し合い・教えあうことで、グループの思考が進んでいきます。全員が参加していることに拍手です。

八阪中学校では、授業力の向上をめざし、活発に校内研究授業をおこなっています。子どもたちの「わかる」「楽しい」を創造していきたいです。