学校日記

2月22日の全校集会

公開日
2016/02/22
更新日
2016/02/22

つぶやき

 22日の中学校の全校集会は、はじめに部活の賞状伝達を行いました。
 そのあとの校長の話。
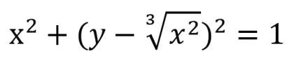
この数式は何を表しているでしょうか?(写真上の数式)
 とても難しいですね。突然これを見せられても僕にもわかりません。
 これをグラフにすると、きれいなハート型が現れます。でも、今ならネットでウルフラムアルファと検索して、そのページでこの数式を入力すれば、グラフを描いてくれるようです。ウルフラムアルファというのは数学専門の検索エンジンです。ただ、英語なのでちょっと難しいかな?
 さて、数学が苦手な人は多いと思いますが、これからの時代、道具としての数学を使いこなせれば怖いものなし、とも言われています。
たとえば、○○○○
     ○○○○
     ○○○○
     ○○○○
     ○○○○  の数を数えるにはどうすれば良いですか?
 (「縦×横で求められます」と理想的な回答をくれました。さすが中学生。)
 そう、かけ算というツールを使って、瞬時に正答を得ることができます。このツールを知らなければ、1から数えることになります。すばらしいツールですね。つまり、数学はツールなんです。世の中のいろいろなことを調べるツールとして、今、とても重要視されています。
 現にみなさんも知っている、グーグルは検索のための数式を編み出して、今や59兆円以上の資産を持つ企業に成長したわけです。その根本は数式だったのです。
 では、これはどうですか?
 1、1、2、3、5、8の次には何が来るでしょうか? 
 いきなり言われても難しいでしょうか? 13が来ます。前の二つを足した数が次の数になります。これはフィボナッチ数列として有名なもので、しかも自然とも密接な関係があります。
 この数列の数値を一辺とした正方形を並べていって、その半径の円を繋げて書いていくと、きれいな巻き貝のような線が出てきます。これ見たことないですか?
 夏、学校のプールで泳いだとき見ませんでしたか? 小学校の校舎の東面にこの図形が描かれています。(写真下)
 この集会の帰り道に見てみてください。また、この図形に出てくる長方形は非常にバランスの良い長方形で、黄金比としても有名です。黄金比、気になりませんか?
 身の回りにはまだまだたくさんの数学が隠れています。探してみてください。

本サイトにおけるすべての著作権はいまみや小中一貫校にあります。すべての画像、資料などのデータの無断使用を禁止します。また、このWebページにリンクをはる場合は、必ずご連絡をください。